注評考試《機電設備評估基礎》知識點:疲勞損傷積累理論
為了幫助廣大學員備戰資產評估師考試,正保會計網校精心為大家整理了資產評估師考試各科目知識點,希望能夠提升您的備考效果,祝您學習愉快!
知識點:疲勞損傷積累理論
當零件所受的應力高于疲勞極限時,每一次應力循環都會對零件造成一定量的損傷,這種損傷是可以積累的;當損傷積累到臨界值時,零件將發生疲勞破壞。
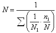
線性損傷積累理論認為,每一次循環載荷所產生的疲勞損傷是相互獨立的,總損傷是每一次疲勞損傷的線性累加(帕姆格倫-邁因納定理)。
損傷率達到100%時,發生疲勞損壞。
![]()
令N為以循環數表示的疲勞壽命,上式可以改寫為:





